"Never doubt that a small group of thoughtful, committed citizens can change the world. Indeed, it is the only thing that ever has."

Margaret Mead
On May 25, 2018, the GDPR (General Data Protection Regulation) went into effect and changed how organizations deal with personal data of customers located in the EU. Though GDPR was built to protect Europeans, it will affect organizations around the world doing business in the EU. Because of this we are asking our users located in the EU to opt in to the data we collect in order to bring a better web experience. Opt-In

Case report
peer-reviewed

Severe Hypernatremia in Combined Diabetic Ketoacidosis and Hyperglycemic Hyperosmolar State: A Case Report of Two Japanese Children



Abstract

As sodium level in diabetic ketoacidosis (DKA) and hyperglycemic hyperosmolar state (HHS) is usually low, normal, or slightly elevated, severe hypernatremia with DKA and/or HHS is rare. Case 1 was a 14-year-old boy, presenting with typical laboratory test values and symptoms consistent with DKA and HHS. His corrected sodium level, 172 mEq/L, might have occurred as a result of consuming 6 L/day of highly carbonated, carbohydrate- and sodium-rich drinks during the week preceding the diagnosis. This patient developed right lung artery thrombosis, which did not require treatment. Case 2 was a 10-year-old girl, presenting with typical laboratory test values and symptoms of DKA and HHS. Her corrected sodium level, 175 mEq/L, might have occurred as a result of large electrolyte-free water loss associated with osmotic diuresis. These two cases of patients presenting with DKA-HHS and severe hypernatremia are the first to be reported in Japan.

Introduction

Diabetic ketoacidosis (DKA) and hyperglycemic hyperosmolar state (HHS) are complications that present in the acute phase of diabetes mellitus (DM). They are associated with increased risk of mortality [1-2]. DKA presents in patients with type 1 DM (T1DM), while HHS is more commonly seen in patients with type 2 DM (T2DM) [3]. DKA is defined with the following laboratory values: 1) blood glucose (BG) ≥ 200 mg/dL, 2) pH < 7.30, 3) HCO3- < 15 mmol/L, and 4) ketonuria and/or ketonemia [4].

Hyperglycemic hyperosmolar state is defined based on the following laboratory values: 1) BG > 600 mg/dL, 2) venous pH > 7.25 and/or arterial pH > 7.30, 3) HCO3- > 15 mmol/L, 4) mild ketonuria or absent to mild ketonemia, 5) plasma osmolarity > 320 mOsm/kg, and 6) altered level of consciousness (obtundation, combativeness) or seizures [4]. HHS is sometimes accompanied by mild to moderate acidosis due to severe dehydration, including lactic acidosis due to hypoperfusion [4]. Symptoms of DKA and HHS can overlap. Combined DKA-HHS syndrome is defined by the following laboratory values: 1) plasma osmolarity ≥ 320 mOsm/kg, 2) BG ≥ 600 mg/dL, 3) pH ≤ 7.30, and 4) ketonuria and/or ketonemia [5].

To date, few cases of pediatric DKA-HHS with severe hypernatremia have been only reported, as DKA tends to present with hyponatremia or eunatremia, while HHS tends to present with hyponatremia, eunatremia, or mild hypernatremia due to sodium chloride excretion [1]. In 2014, the first case of DKA-HHS with severe hypernatremia in the Asian population was reported [2]. Herein, we report the first two Japanese pediatric cases of hypernatremia in DKA-HHS.

Case Presentation

Case 1

Case 1 was a 14-year-old Japanese boy who had been prescribed methylphenidate hydrochloride for attention deficit hyperactivity disorder (ADHD). He was born at 40 weeks of gestational age, with a birth weight of 2690 g (-1.2 SD) and birth length of 46.4 cm (-1.7 SD). He had a height of 172.0 cm (+1.35 SD), body weight of 63.0 kg (+1.0 SD), and body mass index (BMI) of 21.3 kg/m2 (+0.6 SD). His body weight was 72.0 kg a few weeks before admission. There was no family history of DM. One month before the diagnosis of DM, the patient had polydipsia and thirst. In the week preceding the diagnosis, he consumed over 6 L/day of a sports drink (Na; 15 mEq/L) and 2.5 L/day of milk (Na; 22 mEq/L). He presented with generalized fatigue and received 0.5 L/day intravenous drip (DIV) of 0.9% saline with 2.6% dextrose (Na; 154 mEq/L) continuously for two days for thirst, vomiting, and fatigue. However, his symptoms did not improve and therefore, was referred to our hospital. He was restless but able to maintain conversation. His vital signs are shown in Table 1. Clinical examination revealed a fruity breath odor, Kussmaul breathing, and lethargy. A diagnosis of DKA-HHS was made based on the levels shown in Table 1.

Indicator   Case 1 Reference range Case 2 Reference range
Systolic blood pressure mmHg 123   111  
Diastolic blood pressure mmHg 60   62  
Heart rate beats per minute 143   128  
Respiratory rate breaths per minute 143   32  
Body temperature ºC 37.4   36.9  
           
pH   7.12 7.35-7.45 7.073 7.35-7.45
PCO2 mmHg 22.4 35-48 34.3 32-45
HCO3- mmol/L 7.1 22-29 9.8 22-29
BE mmol/L -20.1   -19.4  
           
RBC[A1]  x106/µL 6.21 4.5-5.3 5.34 4.0-5.2
Hb g/dL 18.3 13.0-16.0 15.7 11.5-15.5
Hct % 52.6 35-45 51.1 35-45
WBC x103/µL 14.6 4.5-13.5 21.2 4.5-13.5
Plt x103/µL 258 150-400 402 150-400
           
AST U/L 20 5-45 10 5-45
ALT U/L 33 5-45 21 5-45
LDH U/L 213 230-460 206 246-497
BUN mg/dL 44 7-18 55 7-18
Cr mg/dL 1.59 0.5-1.0 1.71 0.5-1.0
UA mg/dL 15.5 3.0-7.7 13.4 2.2-6.6
Na mmol/L 146 136-146 159 136-146
K mmol/L 5.4 3.5-5.0 4.5 3.5-5.0
Cl mmol/L 97 98-106 115 98-106
Ca mg/dL 8.8 8.4-10.2 10.1 8.4-10.2
P mg/dL 3.2 2.9-5.4 5.8 3.7-5.6
p-Osm mOsm/kg 363 275-295 418 275-295
Amy U/L 45 30-100 74 30-100
T-Chol mg/dL 407 130-204 216 124-217
TG mg/dL 2797 36-138 170 35-114
CK U/L 1240 5-130 38 5-130
Glu mg/dL 1045 60-100 1070 60-100
HbA1c % 12.3 3.0-6.2 15.2 3.0-6.2
Serum total ketone µmol/L > 10000 <100-500 13686 <100-500
Anti-insulin Ab U/mL < 0.4 <0.4 < 0.4 <0.4
Anti-GAD Ab U/mL < 5.0 < 5.0 < 5.0 < 5.0
IA-2 Ab U/mL < 0.6 < 0.6 1.7 < 0.6
IRI µU/mL 3.7 7-24 21.1 7-24
CPR ng/mL 2.0 0.4-2.2 0.4 0.4-2.2
Urine CPR (3 days) µg/day 0.7/2.9/24.7 22.8-155.2 4.6/16.7/49.1 22.8-155.2
           
u-specific gravity   1.036 1.002-1.030 ND 1.002-1.030
u-glucose mg/dL ≥1000   ND  
u-ketone   4+ - ND -
u-blood   3+ - ND -
u-protein   ± - ND -
u-pH   ≤5.0 4.5-8 ND[A2]  4.5-8

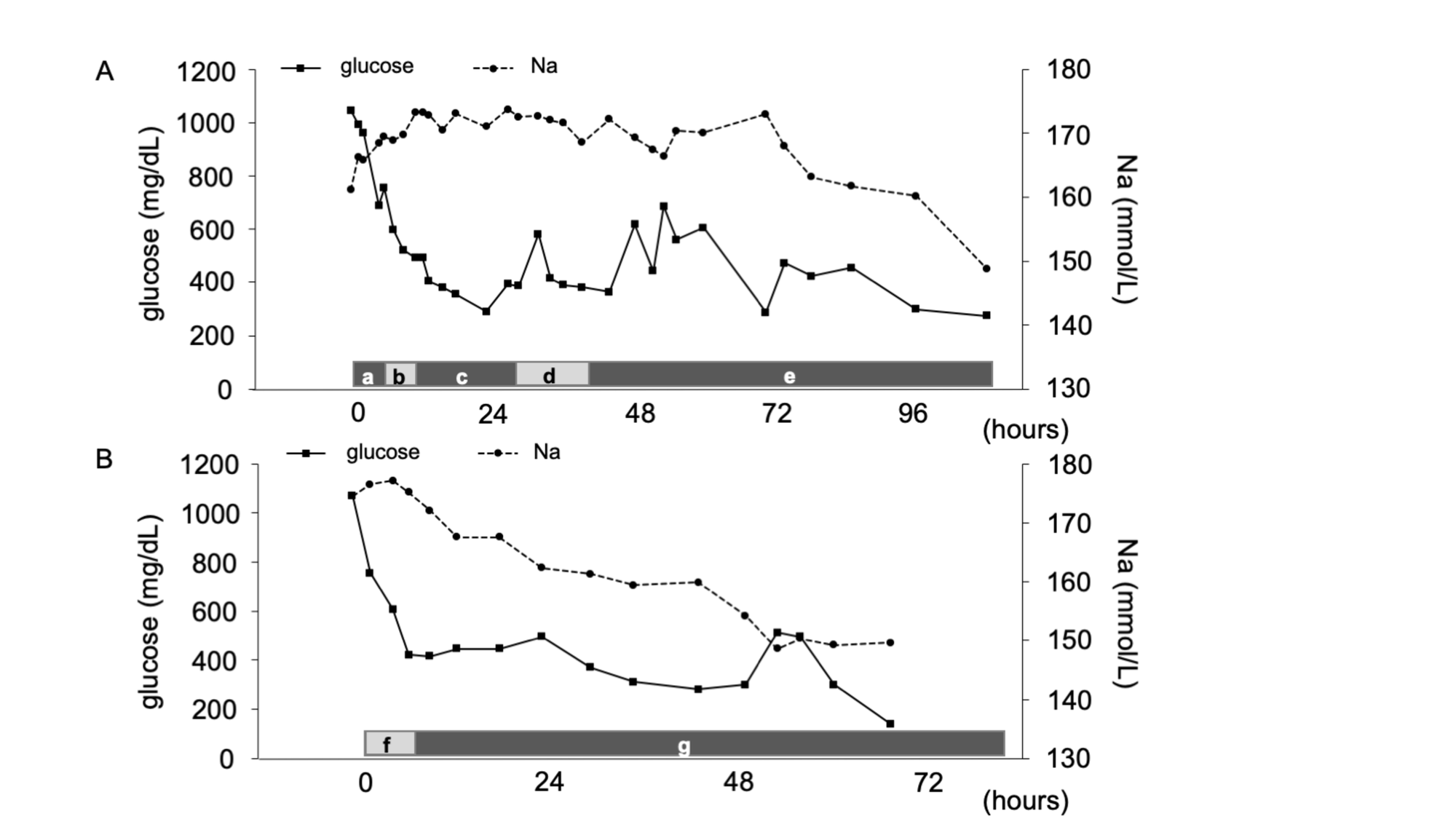
We administered 0.58%-0.9% saline and insulin at 0.05 U/kg/h via DIV. Finally, his sodium level returned to the normal range after 112 hours from admission (Figure 1A). On admission, creatine kinase (CK) was elevated at 1240 U/L. While the urine occult blood was 3+, the urine was negative for microscopic red blood cells, suggesting asymptomatic rhabdomyolysis as myalgia was absent. On day three, he complained of chest pain. His platelet count was 8.3 × 104/µL (reference range, rr: 13104-36 × 104/µL) and fibrin/fibrinogen degradation product (FDP) was 16.5 µg/mL (rr: <5 µg/mL). An enhanced whole-body CT scan detected thrombosis of the right pulmonary artery, pneumomediastinum, and subcutaneous emphysema. These symptoms spontaneously remitted. The patient did not develop any neurological complications. 

One year postadmission, the patient has a height of 172.8 cm (+0.9 SD), body weight of 80.7 kg (+2.2 SD), and BMI of 27 kg/m2 (+1.7 SD). His treatment consists of 24 units/day of insulin degludec and 35 units/day of insulin aspart (0.73 units/body weight/day). He was diagnosed with T1DM, complicated with DKA-HHS and severe hypernatremia due to soft drink ketosis.

Case 2

Case 2 was a 10-year-old Japanese girl, with no significant past medical history. She was born at 39 weeks of gestational age, with a birth weight of 3202 g (+1.1 SD) and birth length of 49.5 cm (+0.4 SD). She had a height of 148.6 cm (+1.8 SD), body weight of 26.2 kg (-0.9 SD), and BMI of 11.9 kg/m2 (-3.6 SD). Her body weight was 31.1 kg one month prior to presentation There was no family history of DM. She was referred to our hospital after presenting with generalized fatigue, polydipsia, and polyuria. She was able to maintain conversation but was moderately restless in general. Her vital signs are shown in Table 1. A clinical examination revealed fruity breath odor, Kussmaul breathing, and lethargy. A diagnosis of DKA-HHS was made based on her laboratory findings (Table 1).

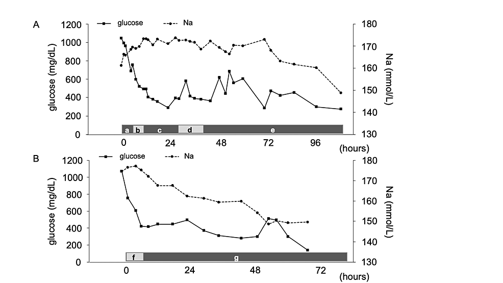
We administered 0.58%-0.9% saline and insulin 0.05 U/kg/h via DIV. Finally, her sodium level returned to the normal range after 78 hours from admission (Figure 1B). She did not develop any neurological complications. 

Six months postadmission, the patient is 146.4 cm (+1.2 SD) tall, with a body weight of 33.4 kg (-0.6 SD) and BMI of 13.6 kg/m2 (-2.1 SD). Her treatment consists of 10 units/day of insulin degludec and 19 units/day of insulin lispro (0.87 units/body weight/day). She was diagnosed with T1DM, complicated with DKA-HHS and severe hypernatremia.

Discussion

To the best of our knowledge, this is the first report of two pediatric cases of DKA-HHS with severe hypernatremia, including a case with complications of asymptomatic rhabdomyolysis, thrombosis of right pulmonary artery, pneumomediastinum, and subcutaneous emphysema simultaneously, in Japan.

Diabetic ketoacidosis-hyperglycemic hyperosmolar state occurs in 13.8% of pediatric hyperglycemic emergencies [5]. It is not usually accompanied by hypernatremia as hyperglycemia dilutes the serum sodium concentration by shifting water from the intracellular space to the extracellular space. Despite large water losses, sodium level is usually low or normal in patients with DKA. The level can be low, normal, or slightly elevated in HHS due to the water shift [1]. Hypernatremia in new-onset T1DM with DKA can be caused by the consumption of large amounts of carbohydrate-rich beverages to quench thirst [6]

Hyperglycemic hyperosmolar state tends to present with hyponatremia, eunatremia, or slight hypernatremia, as HHS is induced by dilution of extracellular fluid and/or dehydration of osmotic diuresis. DKA may present with mild hypernatremia due to severe dehydration. However, exact mechanism of severe hypernatremia is unknown [7]. The mechanism of severe hypernatremia in patients with new-onset DM is proposed that the increased proximal renal tubular sodium reabsorption due to negative feedback of hyperinsulinemia may be exceptionally efficient and in sodium retention [8]. The first Asian pediatric case was reported in Korea in 2014. The patient had consumed a large amount of sports drink, which contained high volume of sugar, sodium, and carbonate that might have exacerbated the hypernatremia [3]. The patient in Case 1 also had consumed a high volume of sports drinks and milk for one week, likely leading to the exacerbation of symptoms and severe hypernatremia at the onset of DKA-HHS. However, the patient in Case 2 had no history of such intake. The extreme hypernatremia might have occurred primarily as a result of the large electrolyte-free water losses associated with osmotic diuresis [9]. Electrolyte imbalance tends to be more severe in HHS than in DKA because osmotic diuresis tends to last longer in HHS [10]. Osmotic diuresis with hyperglycemia and ingestion of high amount of sodium might exacerbate hypernatremia in these cases.

Among the severe complications associated with DKA is brain edema. Slow correction of hyperglycemia and hypernatremia lowers the risk of brain edema [3]. In pediatric patients, the treatment approach to DKA and DKA-HHS is similar. However, DKA-HHS requires administration of a greater amount of fluid and careful monitoring of hemodynamics [5]. There are currently no guidelines regarding treatment of pediatric and/or adolescent HHS [4]. As we carefully monitored patient symptoms, glucose level, and electrolyte level, we believe that neither of the patients presented developed neurological complications.

The present cases were difficult to diagnose. Case 1 was diagnosed with T2DM because insulin-related antibodies were all negative, and 24 hours urine C-peptide did not show absence of insulin. However, he was not obese and required insulin therapy (0.73 units/body weight/day), indicating that he may have slowly progressive T1DM. Case 2 was diagnosed with T1DM because the IA-2 antibody was weakly positive. She was also not obese and required insulin therapy (0.87 units/body weight/day). However, 24 hours urine C-peptide showed presence of insulin. She may still have T2DM, but further observation is necessary.

Conclusions

We report the first two Japanese pediatric cases of DKA-HHS with severe hypernatremia. DKA-HHS results in more complications than only DKA or HHS. The findings from these cases should be considered to address the possibility of pediatric patients developing rarer complications of diabetes, including rhabdomyolysis, thrombosis, pneumomediastinum, and subcutaneous emphysema. We believe that careful fluid therapy in DKA-HHS prevents severe life-threatening complications such as brain edema or death, although several complications except for the life-threatening ones may occur.


References

  1. Chiasson JL, Aris-Jilwan N, Bélanger R, Bertrand S, Beauregard H, Ekoé JM: Fournier H, Havrankova J.Diagnosis and treatment of diabetic ketoacidosis and the hyperglycemic hyperosmolar state. CMAJ. 2003, 168:859-866.
  2. Dunger DB, Sperling MA, Acerini CL, et al.: European Society for Pediatric Endocrinology, Lawson Wilkins Pediatric Endocrine Society. European Society for Paediatric Endocrinology/Lawson Wilkins Pediatric Endocrine Society consensus statement on diabetic ketoacidosis in children and adolescents. Pediatrics. 2004, 113:133. 10.1542/peds.113.2.e133
  3. Kim HJ, Kim DH, Jun YH, Lee JE: A rare diabetes ketoacidosis in combined severe hypernatremic hyperosmolarity in a new-onset Asian adolescent with type I diabetes. BMJ Case Rep. 2014, bcr2014208016. 10.1136/bcr-2014-208016
  4. Wolfsdorf JI, Allgrove J, Craig ME, et al.: ISPAD Clinical Practice Consensus Guidelines 2014. Diabetic ketoacidosis and hyperglycemic hyperosmolar state. Pediatr Diabetes. 2014, 15:154-179.
  5. Agrawal S, Baird GL, Quintos JB, Reinert SE, Gopalakrishnan G, Boney CM, Topor LS: Pediatric diabetic ketoacidosis with hyperosmolarity: clinical characteristics and outcomes. Endocr Pract. 2018, 24:726-732. 10.4158/EP-2018-0120
  6. McDonnell CM, Pedreira CC, Vadamalayan B, Cameron FJ, Werther GA: Diabetic ketoacidosis, hyperosmolarity and hypernatremia: are high-carbohydrate drinks worsening initial presentation?. Pediatr Diabetes. 2005, 6:90-94. 10.1111/j.1399-543X.2005.00107.x
  7. Gurnurkar S, DiLillo ER, Carakushansky M: Severe hypercalcemia in an adolescent with new-onset diabetes mellitus and diabetes ketoacidosis. Cureus. 2020, 12:e8435. 10.7759/cureus.8435
  8. Monroe KW, King WD, Nichols MH, Atchison JA: Hypernatremia in diabetic ketoacidosis. Pract Diabetes Int. 1997, 7:159-161. 10.1002/pdi.1960140606
  9. Arya MK, Ahmed SM, Shah KN, Ali US: Diabetic ketoacidosis with extreme hypernatremia in a 4-year-old girl. Indian J Crit Care Med. 2017, 21:610-612. 10.4103/ijccm.IJCCM_226_17
  10. Rosenbloom AL: Hyperglycemic hyperosmolar state: an emerging pediatric problem. J Pediatr. 2010, 156:180-184. 10.1016/j.jpeds.2009.11.057

Case report
peer-reviewed

Severe Hypernatremia in Combined Diabetic Ketoacidosis and Hyperglycemic Hyperosmolar State: A Case Report of Two Japanese Children


Author Information

Saho Shima

Pediatrics and Child Health, Kurume University School of Medicine, Kurume, JPN

Satoko Umino

Pediatrics and Child Health, Kurume University School of Medicine, Kurume, JPN

Miyuki Kitamura

Pediatrics and Child Health, Kurume University School of Medicine, Kurume, JPN

Kikumi Ushijima

Pediatrics and Child Health, Kurume University School of Medicine, Kurume, JPN

Shuichi Yatsuga Corresponding Author

Pediatrics and Child Health, Kurume University School of Medicine, Kurume, JPN


Ethics Statement and Conflict of Interest Disclosures

Human subjects: Consent was obtained by all participants in this study. Kurume University Hospital Institutional Review Board issued approval 2019-109. Approval of this research in Kurume University Hospital Institutional Review Board. Conflicts of interest: In compliance with the ICMJE uniform disclosure form, all authors declare the following: Payment/services info: All authors have declared that no financial support was received from any organization for the submitted work. Financial relationships: All authors have declared that they have no financial relationships at present or within the previous three years with any organizations that might have an interest in the submitted work. Other relationships: All authors have declared that there are no other relationships or activities that could appear to have influenced the submitted work.

Acknowledgements

We thank all physicians involved in these cases. We thank the patients for providing us with clinical data.



Case report
peer-reviewed

Severe Hypernatremia in Combined Diabetic Ketoacidosis and Hyperglycemic Hyperosmolar State: A Case Report of Two Japanese Children


Figures etc.

SIQ
-
RATED BY 1 READER
CONTRIBUTE RATING

Scholarly Impact Quotient™ (SIQ™) is our unique post-publication peer review rating process. Learn more here.